晕动病(运动病)的评估长期依赖主观量表,存在个体差异大、一致性不足的局限性。第四军事医科大学与延安大学联合研究团队在国际期刊《Frontiers in Neurology》上发表的研究中,创新性地采用三恩时TS7600分光测色仪,通过量化肤色变化客观评估晕动病严重程度,为这一领域提供了新的研究方法。

一、技术原理:从“面色苍白”到精准数据
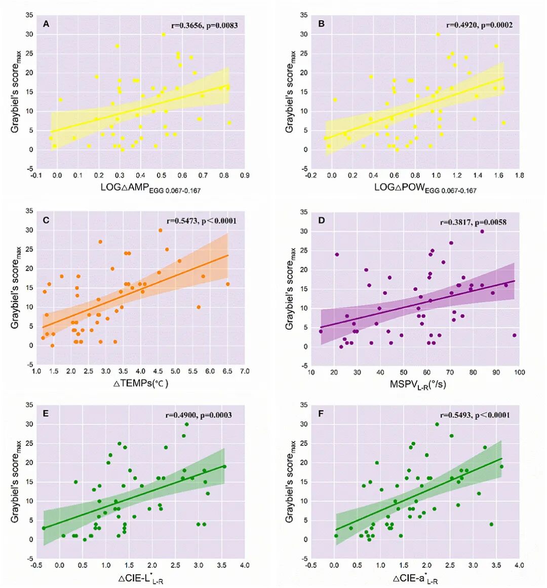
TS7600采用CIE-L*a*b*国际标准颜色系统,通过测量皮肤表面的L*值(明度)和a*值(红绿度),将人眼主观判断的“脸色苍白”这一症状转化为客观量化指标。
当晕动病发作时,血液重新分布导致面部血流变化,表现为脸颊皮肤L*值显著上升(亮度增加,显得苍白),a*值明显下降(红色成分减少)。这种客观测量有效避免了人眼观察因光线、个体差异等因素带来的误差。

二、精准测量:为机器学习模型提供可靠输入
TS7600的高精度特性(重复性精度ΔE≤0.03,台间差ΔE≤0.15)确保了数据的准确性和可重复性。
在研究过程中,仪器测量的肤色数据与胃电活动、皮肤温度、眼震等其他生理参数共同构成机器学习模型的数据特征。
基于这些多维数据建立的评估模型,其准确率达到88.24%,显著提升了晕动病易感性评估的客观性和准确性。

三、便携设计:拓展现场筛查潜力
TS7600的便携设计(尺寸129×76×217mm,重量约600g)使其不仅适用于实验室环境,还能在驾驶舱、船舱等实际场景中进行现场数据采集。
这一特点为晕动病的现场快速筛查创造了条件,对飞行员、宇航员等特殊职业人员的选拔和健康监测具有重要价值。

四、行业价值:推动评估标准化与精准化
该技术的应用推动了晕动病评估从主观描述向客观量化的转变。通过提供可靠、高效的肤色量化方案,TS7600不仅为临床研究提供了新工具,也为特殊职业人员的选拔提供了科学依据。
这项研究展示了精密测量仪器在医学领域的跨界应用潜力,为客观评估生理状态提供了创新性的解决方案。